Van'da 28.9 milyon TL'ye satılık 6 otopark, 32 dükkan!
Van Büyükşehir Belediyesi İpekyolu İlçesi Şerefiye Mahallesi'nde yer alan 6 otopark, 32 dükkanı ihale usulü ile satıyor...
Van Büyükşehir Belediye Başkanlığı tarafından 21.3 milyon TL'ye 6 otopark, 7.6 milyon TL'ye 32 dükkan ihale usulü ile satışa sunuluyor. Taşınmazlar için ihale 20 Eylül'de yapılacak.
TAŞINMAZLAR SATILACAKTIR
Van Büyükşehir Belediye Başkanlığından:
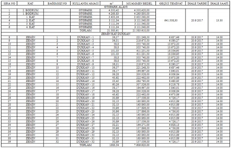
Mülkiyeti Van Büyükşehir Belediyesine ait, İpekyolu İlçesi Şerefiye Mahallesi Ada: 71 Parsel: 71’de kayıtlı 6.682,42 m2’lik Taşınmazımız üzerinde yapılan 2 Bodrum + Zemin + 4 Kattan Oluşan toplam 7 Katlı yapı 2886 sayılı Yasanın 37’nci maddesi uyarınca açık artırma suretiyle satılacaktır.
Mülkiyeti Van Büyükşehir Belediyesine ait aşağıda bağımsız bölümleri yazılı 32 adet dükkan ve 6 katlı otoparkın 2886 Sayılı Yasanın 37’nci maddesi uyarınca kapalı teklif suretiyle satılacaktır. İhale konusu taşınmazlar ile ilgili bilgiler, muhammen bedelleri ve geçici teminatları aşağıda belirtilmiş olup, ihalesi hizalarında belirtilen tarih ve saatlerde Van Büyükşehir Belediyesi Encümen Salonunda yapılacaktır. Şartnamesi mesai saatleri dahilinde Van Büyükşehir Belediyesi, Emlak ve İstimlak Dairesi Başkanlığı, Taşınmaz Mallar Şube Müdürlüğünden alınabilir.
İHALEYE KATILMAK İSTEYEN İSTEKLİLERDE ARANACAK ŞARTLAR
1 - Kanuni ikametgah sahibi olmak.
2 - Tebligat için Türkiye’de adres göstermek.
3 - Gerçek veya Tüzel kişi olması halinde noter tasdikli imza sirküleri veya beyannamesi.
4 - İstekliler adına vekaleten ihaleye katılım var ise, istekli adına teklifte bulunacak kişilerin vekaletnameleri ile birlikte vekaleten iştirak edenin noter tasdikli imza sirküleri veya imza beyannamesi.
5 - Büyükşehir Belediyesi ilişiksiz belgesi.
6 - Van Büyükşehir Belediyesi adına alınmış muhammen (tahmin edilen) bedelin %3’ü kadar geçici teminat alındı makbuzu veya limit dahili süresiz teyitli Banka Geçici Teminat mektubu 2886 sayılı Yasaya göre aranacaktır.
7 - Ortak girişim olması halinde noter tasdikli ortak girişim beyannamesi (ihalenin üzerinde kalması halinde ortaklarca noterden imzalanmış ortaklık sözleşmesi) her biri ortaklar tarafından ayrı ayrı sunulacaktır.
8 - Şartname bedelinin yatırıldığına dair makbuz.
9 - Şartname bedeli ve ekleri ücreti mukabilinde Emlak ve İstimlak Daire Başkanlığı Taşınmaz Mallar Şube Müdürlüğünden temin edilebilir veya ücretsiz görülebilir.
10 - 2886 sayılı Devlet İhale Kanununa göre ihalelere katılmaktan yasaklı olanlar bu ihaleye katılamazlar.
11 - İdare ihaleyi yapıp yapmamakta ve uygun bedeli tespitte serbesttir.
Yukarıda belirtilen belgelerin asılları ile birlikte ihale gün ve saatinden önce Belediye Encümeni'ne müracaatları ilan olunur.
