Ankara Büyükşehir'den Yeni Mamak Kentsel Dönüşüm ve Gelişim Projesi kura açıklaması!
Ankara Büyükşehir Belediyesi Yeni Mamak Kentsel Dönüşüm ve Gelişim Projesi kura çekilişi ile ilgili açıklama yaptı. İşte o açıklama...
Ankara Büyükşehir Belediyesi Yeni Mamak Kentsel Dönüşüm ve Gelişim Projesi kura çekilişi ile ilgili açıklama yaptı. İşte o açıklama...
HAK SAHİPLERİNİN DİKKATİNE
Yeni Mamak Kentsel Dönüşüm ve Gelişim Projesi kapsamında; daha önce üretilen ve kura dışı bırakılan, Zemin ve Yüksek Giriş Katlarda yer alan toplam 49 adet konut, hak sahiplerinin talepleri halinde kura ile verilecektir. Sözleşme tarih sırası ve etap farkı gözetmeksizin tüm hak sahiplerinin katılabileceği kura çekimi için, en geç05.10.2020/pazartesi günü saat:17.oo’a kadar, Üreğil mah. 1173 sokak No:5 adresindeki “Koordinasyon Merkezi”ne müracaat etmeleri veya (0312) 507 34 75 - (0312) 507 34 76 nolu telefonları aramaları gerekmektedir. Talep olmaması halinde, daireler Belediye Başkanlığımız tarafından satışa sunulacaktır.
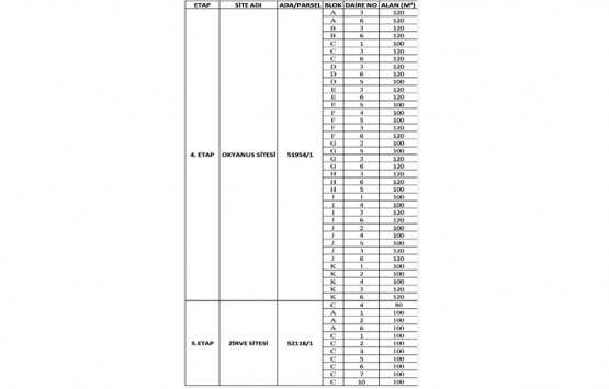
4.Etap 51954 ada 1 parsel – Okyanus Konutlarında; 16 Adet 100 m²’lik ve 22 Adet 120 m²’lik olmak üzere toplam 38 adet daire; (Yüksek Giriş Kat)
5.Etap 52118 ada 1 parsel - Zirve Konutlarında; 1 adet 80m²’lik ve 10 adet 100m²’lik olmak üzere toplam 11 adet daire (Zemin Kat)
