Deprem bölgelerinde yapılacak binalar hakkında yönetmelikte değişiklik!
Deprem bölgelerinde yapılacak binalar hakkında yönetmelikte değişiklik yapılmasına ilişkin yönetmelik, 3 Mayıs 2007 tarihinde ve 26511 sayılı Resmi Gazete'de yayımlandı. İşte yönetmelik ekinde yapılan değişiklikler...
YÖNETMELİK
Bayındırlık ve İskan Bakanlığından:
DEPREM BÖLGELERİNDE YAPILACAK BİNALAR HAKKINDA YÖNETMELİKTE
DEĞİŞİKLİK YAPILMASINA İLİŞKİN YÖNETMELİK
MADDE 1 – 6/3/2007 tarihli ve 26454 sayılı Resmî Gazete’de yayımlanan Deprem Bölgelerinde Yapılacak Binalar Hakkında Yönetmeliğin ekinde yer alan Deprem Bölgelerinde Yapılacak Binalar Hakkında Esasların 3.3.7.1, 3.4.5.1, 3.6.2.1, 3.6.6.3, 3.10, 7.5.2.2, 7.5.2.4, 7.5.2.5 ve 7.5.3 numaralı paragrafları ekteki şekilde değiştirilmiştir.
MADDE 2 – Bu Yönetmelik yayımı tarihinde yürürlüğe girer.
MADDE 3 – Bu Yönetmelik hükümlerini Bayındırlık ve İskan Bakanı yürütür.
EK
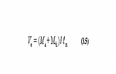
“3.3.7.1 – Kolonlarda enine donatı hesabına esas alınacak kesme kuvveti, Ve , Denk. (3.5) ile hesaplanacaktır.

Denk.(3.5)’teki Ma ve Mü’nün hesaplanması için, kolonun alt ve/veya üst uçlarında Denk.(3.3)’ün sağlanması durumunda 3.3.7.2, sağlanamaması durumunda ise 3.3.7.3 uygulanacaktır (Şekil 3.5). Düşey yükler ile birlikte Ra = 2 alınarak Bölüm 2’ye göre depremden hesaplanan kesme kuvvetinin Denk. (3.5) ile hesaplanan Ve’den küçük olması durumunda, Ve yerine bu kesme kuvveti kullanılacaktır.”
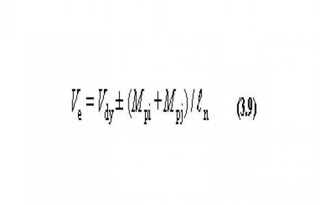
“3.4.5.1 – Kirişlerde enine donatı hesabına esas alınacak kesme kuvveti, Ve , depremin soldan sağa veya sağdan sola etkimesi durumları için ayrı ayrı ve elverişsiz sonuç verecek şekilde, Denk.(3.9) ile bulunacaktır (Şekil 3.9)

Kiriş uçlarındaki moment kapasiteleri, daha kesin hesap yapılmadığı durumlarda, Mpi @ 1.4 Mri ve Mpj @ 1.4 Mrj olarak alınabilir. Düşey yükler ile birlikte Ra = 2 alınarak Bölüm 2’ye göre depremden hesaplanan kesme kuvvetinin Denk. (3.9) ile hesaplanan Ve’den küçük olması durumunda, Ve yerine bu kesme kuvveti kullanılacaktır.”
“3.6.2.1 – Hw / ℓw > 2.0 olan perdelerin planda her iki ucunda perde uç bölgeleri oluşturulacaktır (Şekil 3.11). 3.6.1.2’de tanımlanan binalar dışında, perde uç bölgelerindeki perde kalınlığı kat yüksekliğinin 1/15’inden ve 200 mm’den az olmayacaktır. Kat yüksekliği 6 m’den daha büyük olan perdelerin uç bölgelerinin, kat yüksekliğinin en az 1/5’ine eşit uzunluktaki elemanlarla yanal doğrultuda tutulduğu durumlarda, uç bölgesindeki perde kalınlığı, yanal doğrultuda tutulan noktalar arasındaki yatay uzunluğun en az 1/20’sine eşit olabilir. Ancak, bu kalınlık kat yüksekliğinin 1/20’sinden veya 300 mm’den az olamaz. Perde uç bölgeleri, perde uç bölgesinin kendi kalınlığı içinde oluşturulabileceği gibi, perdeye birleşen diğer bir perdenin içinde de düzenlenebilir.”
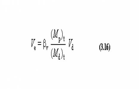
“3.6.6.3 – Hw / ℓw > 2.0 koşulunu sağlayan perdelerde, gözönüne alınan herhangi bir kesitte enine donatı hesabında esas alınacak tasarım kesme kuvveti, Ve , Denk.(3.16) ile hesaplanacaktır.
Bu bağıntıda yer alan kesme kuvveti dinamik büyütme katsayısı βv = 1.5 alınacaktır. Ancak, deprem yükünün tamamının betonarme perdelerle taşındığı binalarda βv = 1.0 alınabilir. Daha kesin hesap yapılmadığı durumlarda (Mp)t @ 1.25 (Mr)t alınabilir. Düşey yükler ile birlikte Ra = 2 alınarak Bölüm 2’ye göre depremden hesaplanan kesme kuvvetinin Denk. (3.16) ile hesaplanan Ve’den küçük olması durumunda, Ve yerine bu kesme kuvveti kullanılacaktır. Hw / ℓw £ 2.0 olan perdelerin bütün kesitlerinde tasarım kesme kuvvetleri, Bölüm 2’ye göre hesaplanan kesme kuvvetlerine eşit alınacaktır.”
“3.10. SÜNEKLİK DÜZEYİ NORMAL PERDELER
Süneklik düzeyi normal perdeler, düşey yükler ve depremin ortak etkisinden oluşan iç kuvvetlere göre boyutlandırılarak donatılacaktır. Süneklik düzeyi yüksek perdeler için 3.6.6, 3.6.8.2 ve 3.6.8.3’de verilen kural ve koşullar hariç olmak üzere, 3.6’da verilen diğer tüm kural ve koşullar, süneklik düzeyi normal olan perdeler için de geçerlidir. Ancak 3.6.7.1’de Ve yerine 2Vd alınacaktır.”
“7.5.2.2 – Betonarme elemanlar, kırılma türü eğilme ise “sünek”, kesme ise “gevrek” olarak sınıflanırlar.
(a) Kolon, kiriş ve perdelerin sünek eleman olarak sayılabilmeleri için bu elemanların kritik kesitlerinde eğilme kapasitesi ile uyumlu olarak hesaplanan kesme kuvveti Ve’nin, 7.2’de tanımlanan bilgi düzeyi ile uyumlu mevcut malzeme dayanımı değerleri kullanılarak TS-500’e göre hesaplanan kesme kapasitesinin Vr’yi aşmaması gereklidir. Ve’nin hesabı kolonlar için 3.3.7’ye, kirişler için 3.4.5’e ve perdeler için 3.6.6’ya göre yapılacak, ancak Denk.(3.16)’da βv=1 alınacaktır. Kolon, kiriş ve perdelerde Ve’nin hesabında pekleşmeli taşıma gücü momentleri yerine taşıma gücü momentleri kullanılacaktır. Düşey yükler ile birlikte Ra=1 alınarak depremden hesaplanan toplam kesme kuvvetinin Ve’den küçük olması durumunda ise, Ve yerine bu kesme kuvveti kullanılacaktır.
(b) Yukarıda verilen süneklik koşullarını sağlamayan betonarme elemanlar, gevrek olarak hasar gören elemanlar olarak tanımlanacaktır.”
“7.5.2.4 – Hw / ℓw £ 2.0 koşulunu sağlayan betonarme perdelerin ve güçlendirilmiş dolgu duvarlarının etki/kapasite oranı, deprem etkisi altında hesaplanan kesme kuvvetinin kesme kuvveti dayanımına oranıdır. Köşegen çubuklar ile modellenen güçlendirilmiş dolgu duvarlarında oluşan kesme kuvvetleri, çubuğun eksenel kuvvetinin yatay bileşeni olarak gözönüne alınacaktır. Güçlendirilmiş dolgu duvarlarının kesme kuvveti dayanımının hesabı Bilgilendirme Eki 7F’de verilmiştir.
7.5.2.5 – Hesaplanan kiriş, kolon ve perde kesitlerinin ve güçlendirilmiş dolgu duvarlarının etki/kapasite oranları (r), Tablo 7.2-7.5’de verilen sınır değerler (rs) ile karşılaştırılarak elemanların hangi hasar bölgesinde olduğuna karar verilecektir. Tablolardaki ara değerler için doğrusal enterpolasyon uygulanacaktır.
(a) Ancak Hw / ℓw £ 2.0 koşulunu sağlayan betonarme perdelerde, Tablo 7.4’de verilen (rs) sınır değerleri [(1 + Hw / ℓw) / 3] ≥ 0.5 katsayısı ile çarpılarak küçültülecektir.
(b) Betonarme binalardaki güçlendirilmiş dolgu duvarlarının hasar bölgelerinin belirlenmesinde ayrıca Tablo 7.5’de verilen göreli kat ötelemesi oranı sınırları gözönüne alınacaktır. Göreli kat ötelemesi oranı, ilgili katta hesaplanan en büyük göreli kat ötelemesinin kat yüksekliğine bölünmesi ile elde edilecektir.”
“7.5.3. Göreli Kat Ötelemelerinin Kontrolü
Doğrusal elastik yöntemlerle yapılan hesapta her bir deprem doğrultusunda, 7.5.2.5’te yapılan karşılaştırmalara ek olarak, binanın herhangi bir katındaki kolon veya perdelerin göreli kat ötelemeleri, Tablo 7.6’da verilen sınır değerler ile karşılaştırılarak elemanların hangi hasar bölgesinde olduğuna karar verilecektir. Bu karşılaştırmanın daha elverişsiz sonuçlar vermesi durumunda, o katta ilgili kolon veya perdenin alt ve üst kesitlerinde 7.5.2.5’e göre yapılan hasar değerlendirmeleri gözönüne alınmayacaktır. Tablo 7.6’da δji i’inci katta j’inci kolon veya perdenin alt ve üst uçları arasında yer değiştirme farkı olarak hesaplanan göreli kat ötelemesini, hji ise ilgili elemanın yüksekliğini göstermektedir.”