Ergene Belediyesi'nden 10.1 milyon TL'ye satılık 27 gayrimenkul!
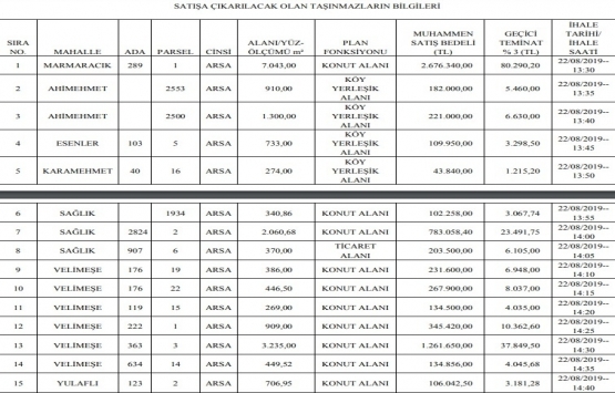
Ergene Belediye Başkanlığı, Ahimehmet, Esenler, Karamehmet, Marmaracık, Sağlık, Velimeşe, Yulaflı ve Vakıflar mahallelerinde bulunan 27 gayrimenkulü 10 milyon 98 bin 481 TL'ye satıyor.
Ergene Belediye Başkanlığı, Ahimehmet, Esenler, Karamehmet, Marmaracık, Sağlık, Velimeşe, Yulaflı ve Vakıflar mahallelerinde bulunan 27 gayrimenkulü satışa çıkardı. Taşınmazların satış bedeli 10 milyon 98 bin 481 TL olarak belirlendi.
Ergene Belediye Başkanlığı'ndan:
1 - İlçemiz Ahimehmet, Esenler, Karamehmet, Marmaracık, Sağlık, Velimeşe, Yulaflı ve Vakıflar mahallelerinde 27 ad. arsa vasıflı ve mülkiyeti belediyemize ait aşağıda bilgileri yazılı taşınmazların, Belediye Meclisinin 06.09.2017 gün 112 sayı ile 03.07.2019 gün 77 sayılı kararları ile satışına izin verilmiştir. Taşınmazlardan, ihale ilanın 1. sırasında yer alan taşınmaz 2886 Sayılı D.İ.K.’nun 35/a ve 37.md. Kapalı Teklif Usulü ile, diğer (2-27 nci sırasında yer alan) taşınmazlar aynı kanunun 35/c ve 45., 46. ve 47. maddelerine istinaden Açık Teklif Usulü ile satışı yapılacaktır.
2 - İhale yeri ; Ergene Belediyesi Hizmet Binasında(Ulaş Mah. Atatürk Bulvarı Belediye Hizmet Binası) İhale Komisyonunca (Encümenince) yapılacaktır. İhale ile ilgili İhale Şartnamesi ve Ekleri Ergene Belediyesi Emlak ve İstimlak Müdürlüğünde görülebilir.
3 - İlanımızın 1 nci sırasındaki taşınmazın satış ihalesine katılacak olan isteklilerin tekliflerini aşağıdaki belgeleri kapalı zarf içerisinde 22.08.2019 Perşembe günü Saat: 12.00’a kadar Belediyemiz Emlak ve İstimlak Müdürlüğüne vermeleri ya da taahhütlü olarak posta ile göndermeleri gerekmektedir.
Ancak, postadaki gecikmeler ve telgrafla yapılan başvurular İhale Komisyonunca kesinlikle kabul edilmeyecektir. İlanın 1 nci sırasındaki taşınmaz satış ihalesine katılmak isteyen isteklilerin tekliflerini aşağıdaki belgelerle kapalı zarf içerisinde ibraz etmeleri gerekmektedir.
a) Teklif Mektubunu içeren iç zarf,
b) Gerçek kişinin kanuni ikametgah belgesi (onaylı veya e-devlet üzerinden alınmış olmalı)ve nüfus cüzdanı sureti/fotokopisi,
c) Yabancı isteklilerin Türkiye’de gayrimenkul edinebilmelerine ilişkin şartları taşıdığını belirten belge, tebligat için ülkemizdeki adrese ait beyan,
d) Tüzel kişinin siciline kayıtlı bulunduğu İdareden (Ticaret veya Sanayi Odası, Ticaret Sicili Md, Dernekler Md., Vakıflar Md., İdare merkezinin bulunduğu yer mahkemesi veya ilgili makamdan) ihalenin yapıldığı yıl içinde alınmış tüzel kişinin siciline kayıtlı olduğuna dair belge,
e) Şirketlerden, noterden tasdikli imza sirküsü,
f) Dernek ve vakıflardan, ihaleye katılmaya ve yetkilendirmeye dair, yetkili organ tarafından alınmış kararın noter tasdikli sureti ve yetkilendirilen kişinin noter tasdikli imza beyannamesi,
g) 2886 Sayılı D.İ.K.da belirtilen oranda Geçici Teminat Bedelinin yatırıldığına dair makbuz veya Mevduat ve Katılım Bankaların verecekleri süresiz teminat mektupları ile Hazine Müsteşarlığınca İhraç edilen Devlet İç borçlanma Senetleri veya bu senetler yerine düzenlenen belgeler,
h) Vekaleten katılınması halinde noter tasdikli vekaletname,
i) Ortak Girişim olması halinde, Ortak Girişim Beyannamesi (Ortak Girişimi oluşturan gerçek ve tüzel kişilerin her biri için (b), (c), (d), (e), (f) ve(h) bentlerinde belirtilen belgelerin verilmesi gerekmektedir.)
j) Yabancı isteklilerin sunacakları yurtdışında düzenlenmiş her türlü belgenin Türkiye Cumhuriyeti konsolosluklarınca tasdik edilmiş veya apostil şerhini havi olması gerekmektedir.
k) Ergene Belediyesine borcu olmadığına dair Ergene Belediyesi Mali Hizmetler Müdürlüğünden alınacak belge,
l) İhaleye katılmak isteyenlerin, ihale şartnamesini inceleyerek ihale saatinden önce katılmak istedikleri her bir taşınmaz için ayrı ayrı 200,00 TL (İkiyüzTürkLirası) şartname bedeli yatırmak üzere Belediyemiz Emlak ve İstimlak Müd. başvurmaları ve makbuzlarını ihale evrakları içerisinde eklemeleri gerekmektedir. İhale şartnamesini makbuz mukabilinde aldıktan sonra her sayfasını “okudum ve anladım” yazılarak imzalamaları,
m) Satışa çıkarılan taşınmazın yerini bildiğine ve okuduğuna dair imzalı dilekçe,
n) 2886 sayılı Devlet İhale Kanununun “İhaleye Katılamayacak Olanlar” başlıklı 6.maddesinde belirtilen durumlarda olmadığına dair taahhütname. İlanın 2 -27nci sında yer alan taşınmazlar 2886 Sayılı D.İ.K.’nun 35/c ve 45. ,46.ve 47.maddelerine istinaden Açık Teklif Usulü ile yapılacağından; İhale Saatinde ihale komisyonuna sunulacak belgeler ise; İlanın 3 ncü maddesinde yazılı (a)’daki belge haricinde isteklinin gerçek kişi veya tüzel kişi olup olmadığına göre hazırlanıp ihale saatinde İhale Komisyonuna sunulacaktır.


4 - İhale Komisyonu (Belediye Encümeni) gerekçesini belirtmek suretiyle ihaleyi yapıp, yapmamakta serbesttir.
5 - Satış ve tescile ait her türlü vergi, resim, harçlar v.s. giderler ihaleyi alan alıcıya aittir. Taşınmazların tahmin edilen muhammen satış bedelleri yukarıda yazılı olup, KDV Kanunun 17/4-p maddesine göre Belediyemizin ihale ile yaptığı satışlar KDV’den istisna olup, KDV alınmayacaktır.
6 - Tapu kayıtlarının, yürürlükteki İmar planlarının incelenmesi ve taşınmazın bulunduğu yerin görülmesi, taşınmazın bulunduğu yer itibariyle, belediyemizden bilgi alınması; taşınmazı almak isteyen ve bu amaçla ihaleye katılmayı arzulayan isteklilerin sorumluluğundadır.
7 - Taşınmaz malın fuzuli işgal halinde bulunması halinde; Belediye, fuzuli şagili bu taşınmaz maldan tahliye için hiçbir sorumluluk yüklenmez ve müşteri bunu Belediyeden isteyemez. Taşınmaz mal, işgal edilmiş hali ile alıcı idarece tescil ettirilmek suretiyle mahallinde satışı yapan idare yetkilileri ile alıcı arasında bir tutanak düzenlenerek alıcıya teslim edilir. Teslim tutanağında taşınmaz mal ile birlikte satışa konu eşya veya levazımda var ise bunlar da ayrı ayrı belirtilir.
8 - İhaleye katılmak isteyen katılımcıların, tüm bu maddelerde yer alan şartları kabul ederek mutlaka yerine getirmeleri gerekmektedir. Aksi takdirde sonuçlandıktan sonra hiçbir hak talebinde bulunamayacaklardır. İhaleye iştirak edeceklere duyurulur.