Müteahhitlik karneleri ve iş bitirme belgelerinin değerlendirme katsayıları 2015!
Yapı, tesis ve onarım işleri ihalelerinde kullanılan müteahhitlik karneleri ve iş bitirme belgelerinin 2015 yılına ait değerlendirme katsayıları hakkında tebliğ, 19 Mart 2015 tarihinde 29300 sayılı Resmi Gazete'de yayımlandı...
Müteahhitlik karneleri ve iş bitirme belgelerinin değerlendirme katsayıları 2015!
Yapı, tesis ve onarım işleri ihalelerinde kullanılan müteahhitlik karneleri ve iş bitirme belgelerinin 2015 yılına ait değerlendirme katsayıları hakkında tebliğ, 19 Mart 2015 tarihinde 29300 sayılı Resmi Gazete'de yayımlandı. Müteahhitlik karneleri ve iş bitirme belgelerinin değerlendirme katsayıları 2015 şu şekilde;
TEBLİĞ
Çevre ve Şehircilik Bakanlığından:
YAPI, TESİS VE ONARIM İŞLERİ İHALELERİNDE KULLANILAN MÜTEAHHİTLİK KARNELERİ VE İŞ BİTİRME BELGELERİNİN 2015 YILINA AİT DEĞERLENDİRME KATSAYILARI HAKKINDA TEBLİĞ
(1) 28/3/1981 tarihli ve 17293 sayılı Resmî Gazete’de yayımlanan “Yapı, Tesis ve Onarım İşleri İhalelerine Katılma Yönetmeliği” uyarınca, ihalelere iştirak edecek olan müteahhitlerin, ellerinde bulunan ve geçerliliği sona ermemiş müteahhitlik karneleri, ilgili kuruluşlarca, aşağıda belirtildiği şekilde ve grubu aynı kalmak şartıyla aktarılarak kabul edilir.
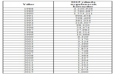
(2) 1/1/2015 tarihinden itibaren, müteahhitlik karneleri ve iş bitirme belgeleri için geçerli katsayılar aşağıda belirtilmiştir.
A) Tespit olunan bu katsayılar 1/1/2016 tarihine kadar uygulanır.
B) 1/3/1981-28/2/1982 arasındaki tarihleri taşıyan (bu tarihler dahil) ve geçerliliğini muhafaza eden müteahhitlik karneleri miktarı, grubu aynı kalmak şartıyla; 28.530,669 ile çarpılır.
C) 1/3/1982-31/12/1982 arasındaki tarihleri taşıyan (bu tarihler dahil) müteahhitlik karneleri miktarı, grubu aynı kalmak şartıyla; 23.722,723 ile çarpılır.
D) Kuruluşlarca iş bitirme belgelerinin ve müteahhitlik karnelerinin değerlendirilebilmesi için 1/1/2015 tarihinden itibaren geçerli olmak üzere aşağıda tespit olunan katsayılar uygulanır.


Müteahhitlik karnesi nedir?
Işıl Seren KESKİN/Emlakkulisi.com