Şahinbey'de 8 gayrimenkul 80,7 milyon TL'ye satılıyor!
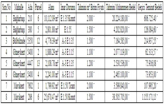
Şahinbey Belediye Başkanlığı Gaziantep Şahinbey'de Bağlarbaşı, Bülbülzade, Güneykent, Mavikent Mahalleleri'nde yer alan 8 gayrimenkulü 80 milyon 769 bin 885 TL tahmini muhammen bedelle satıyor.
Gaziantep Şahinbey'de Bağlarbaşı, Bülbülzade, Güneykent, Mavikent Mahalleleri'nde yer alan 8 gayrimenkul satışa sunuluyor. Şahinbey Belediye Başkanlığı tarafından satılacak taşınmazların tahmini muhammen bedeli 80 milyon 769 bin 885 TL olarak belirlendi.
TAŞINMAZLAR SATILACAKTIR
Şahinbey Belediye Başkanlığından:
GAZİANTEP
1 - İHALENİN KONUSU:
Belediyemize ait aşağıda bilgileri verilen 8 adet arsanın satış ihalesidir.

2 - İHALENİN TARİHİ, SAATİ, YERİ ve EVRAKLARIN TESLİM SÜRESİ:
Söz konusu taşınmazların ihalesi 04/07/2018 ÇARŞAMBA günü Saat 15:00’da Gaziantep Şahinbey Belediyesi Encümen Toplantı Salonunda İhale Komisyonunca (Encümenince) yapılacaktır. İhaleye iştirak edecekler, teklif zarflarını aşağıda istenilen belgelerle birlikte en geç 04/07/2018 ÇARŞAMBA günü Saat 12:00’a kadar, Belediyemiz Yazı İşleri Müdürlüğü’nden kayıt yaptırarak Belediyemiz Emlak İstimlak Müdürlüğüne vermeleri ya da taahhütlü olarak posta ile göndermeleri gerekmektedir. Ancak, postadaki gecikmeler ve telgrafla yapılan başvurular İhale Komisyonunca kesinlikle kabul edilmeyecektir.
3 - İHALENİN YAPILIŞ ŞEKLİ:
İhale, 2886 Sayılı Devlet İhale Kanununun 35/a maddesine göre Kapalı Teklif Usulü ile yapılacaktır.
4 - İHALE ŞARTNAMESİNİN TEMİNİ ve BEDELİ:
İhale şartnamesi Emlak İstimlak Müdürlüğünde mesai saatleri içerisinde ücretsiz olarak görülebilir. İhaleye girecek olanlar 100,00 (Yüz) TL karşılığında şartnameyi satın almaları gerekmektedir. (her arsa için ayrı ayrı şartname bedeli yatırılacaktır)
5 - GEÇİCİ TEMİNAT MİKTARI:
İhaleye girecek gerçek veya tüzel kişiler, istekli oldukları taşınmazla ilgili %3 geçici teminatı, Türkiye Vakıflar Bankası TR 97 0001 5001 5800 7266 6189 48 IBAN Nolu Belediyemiz hesabına veya Belediyemiz veznesine nakden yatırabileceği gibi limit dahili Banka teminat mektubu olarak da Emlak İstimlâk Müdürlüğüne verilebilir.
İhale Komisyonu ihalenin herhangi bir safhasında, ihaleye devam eden isteklilerden en son teklif edilen bedel üzerinden geçici teminat farkını isteyebilir. İhale sırasında istenen %3 geçici teminat farkını tamamlamayanlar ihale salonundan çıkartılır ve ihale %3 teminat farkını tamamlayanlar arasında devam eder.
İhale üzerinde kalan gerçek ve tüzel kişiler, %3 geçici teminat farkını tamamlamak zorundadır, aksi takdirde ihale iptal edilir.
6 - TEMİNATA İLİŞKİN ESASLAR:
a. Tedavüldeki Türk Parası,
b. Bankalar ve özel finans kurumlarının verecekleri süresiz teminat mektubu,
7 - İSTENİLEN BELGELER:
Teklifler aşağıdaki bilgi ve Belgeleri içerecek şekilde hazırlanacaktır.
A. İÇ ZARF
Teklif mektubundan oluşur. (Teklif Mektubu, ihaleye iştirak edecek gerçek ve tüzel kişilerce veya kanuni vekillerince imzalanacak ve bu teklifte şartname ve eklerinin aynen kabul edildiği belirtilecektir. Teklifler hem rakamla hem de yazıyla açık olarak yazılacaktır. Bunlardan herhangi birine uygun olmayan veya üzerinde kazıntı, silinti ve düzeltme bulunan teklifler reddedilerek ihaleye girilmemiş sayılacaktır.)
Teklif mektubu bir zarf (iç zarf) içerisine konulup kapatıldıktan sonra zarf üzerine isteklinin adı, soyadı ve tebligata esas olan açık adresi yazılacaktır. Zarfın yapıştırılan yeri istekli tarafından imzalanacak ve mühürlenecektir.
B. DIŞ ZARF
Dış zarf aşağıdaki bilgi ve belgeleri içerir,
a. Teklif mektubunu içeren İç zarf,
b. Türkiye’de kanuni ikametgâhı olduğuna dair belge (Nüfus Müdürlüğü’nden temin edilecek)
c. Tebligat için Türkiye sınırları içerisinde adres gösterir belge (şartname ekinde belirtilen tebligat bilgi formu),
d. Tüzel kişiliğin Ticaret ve/veya Sanayi Odasına kayıtlı olduğunu gösterir belge (İhale tarihinin olduğu yıla ait olacak)
e. Tüzel kişiliği temsilen ihaleye katılacak yetkilinin noter tasdikli imza sirküsü,
f. İstekliye ait noter tasdikli imza beyannamesi veya imza sirküsü,
g. Vekaleten ihaleye katılan kişinin, istekli adına ihaleye katılabileceğine ilişkin noter tasdikli vekaletname ile imza sirküsü,
h. İstekli tarafından her sayfası imzalanmış şartname,
i. Şartnamenin satın alındığına dair makbuzun aslı,
j. Şartnamede belirtilen geçici teminatın ödendiğine dair makbuz veya limit dahili banka teminat mektubu,
k. İsteklinin ve vekaleten giren kişinin Belediyemize herhangi bir borcu olmadığına dair Mali Hizmetler Müdürlüğünden alınmış belge,
İhaleye iştirak edeceklere duyurulur.